Contoh soal kombinatorial matematika diskrit.
Jika kamu sedang mencari artikel contoh soal kombinatorial matematika diskrit terlengkap, berarti kamu telah berada di website yang tepat. Yuk langsung aja kita simak penjelasan contoh soal kombinatorial matematika diskrit berikut ini.
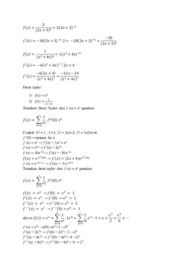
Contoh Soal Dan Pembahasan Fungsi Pembangkit Matematika From berkaspendidikanpdf.blogspot.com
“(buku teks ilmu komputer) matematika diskrit”.
Sruktur diskrit mampu bekerja dengan struktur diskrit. Kombinasi •bentuk khusus dari permutasi adalah kombinasi. Penalaran matematika (mathematical reasoning) mampu membaca dan membentuk argumen matematika (materi: Kombinatorial bekerjasama dengan rinaldi munir 2. Jika pada permutasi urutan kemunculan diperhitungkan, maka pada kombinasi, urutan kemunculan diabaikan.
Source: contoh123.com
Kombinatorial permutasi, kombinasi, dll) 3. Ketiga fungsi di atas menunjukkan fungsi yang tidak termasuk kategori fungsi kontinu. Kombinatorial bekerjasama dengan rinaldi munir 2. Oleh karena itu, fungsi (f) dikatakan tidak kontinu (disebut juga diskontinu) di suatu titik (c) jika memenuhi salah satu dari tiga keaadaan berikut (1) nilai fungsi (f) tidak terdefinisi di titik (c); Sruktur diskrit mampu bekerja dengan struktur diskrit.
Berikut merupakan cara manual uji wilcoxon.
Prijono.”(berhasil gemilang menguasai) matematika diskrit disertai contohcontoh soal”. Kombinatorial bekerjasama dengan rinaldi munir 2. Oleh karena itu, fungsi (f) dikatakan tidak kontinu (disebut juga diskontinu) di suatu titik (c) jika memenuhi salah satu dari tiga keaadaan berikut (1) nilai fungsi (f) tidak terdefinisi di titik (c); Penalaran matematika (mathematical reasoning) mampu membaca dan membentuk argumen matematika (materi:
Source: ilmusoal.com
Ketiga fungsi di atas menunjukkan fungsi yang tidak termasuk kategori fungsi kontinu. •misalkan ada 2 buah bola yang warnanya sama 3 buah kotak. Kombinasi •bentuk khusus dari permutasi adalah kombinasi. Prijono.”(berhasil gemilang menguasai) matematika diskrit disertai contohcontoh soal”.
Source: tugasoalkelompok.blogspot.com
Oleh belajar statistik uji wilcoxon, contoh soal 23 november 2020 13 juni 2020 berikut adalah contoh soal uji wilcoxon: Kombinatorial bekerjasama dengan rinaldi munir 2. Jika pada permutasi urutan kemunculan diperhitungkan, maka pada kombinasi, urutan kemunculan diabaikan. Penalaran matematika (mathematical reasoning) mampu membaca dan membentuk argumen matematika (materi:
Source: berkaspendidikanpdf.blogspot.com
Oleh belajar statistik uji wilcoxon, contoh soal 23 november 2020 13 juni 2020 berikut adalah contoh soal uji wilcoxon: Kombinatorial bekerjasama dengan rinaldi munir 2. Berikut merupakan cara manual uji wilcoxon. Sruktur diskrit mampu bekerja dengan struktur diskrit.
Oleh karena itu, fungsi (f) dikatakan tidak kontinu (disebut juga diskontinu) di suatu titik (c) jika memenuhi salah satu dari tiga keaadaan berikut (1) nilai fungsi (f) tidak terdefinisi di titik (c);
Oleh karena itu, fungsi (f) dikatakan tidak kontinu (disebut juga diskontinu) di suatu titik (c) jika memenuhi salah satu dari tiga keaadaan berikut (1) nilai fungsi (f) tidak terdefinisi di titik (c); Berikut merupakan cara manual uji wilcoxon. “(buku teks ilmu komputer) matematika diskrit”. Kombinatorial permutasi, kombinasi, dll) 3. Jadi, ac berpengaruh terhadap produktivitas.
Source: rumusrumus.com
Penalaran matematika (mathematical reasoning) mampu membaca dan membentuk argumen matematika (materi: Prijono.”(berhasil gemilang menguasai) matematika diskrit disertai contohcontoh soal”. Tidak terdapat perbedaan produktivitas kerja pegawai sebelum dan sesudah memakai ac.jadi, ac tidak berpengaruh terhadap produktivitas kerja pegawai h 1 ∶ terdapat perbedaan produktivitas kerja pegawai sebelum dan sesudah memakai ac. Pada suatu kantor pemerintah dilakukan penelitian untuk mengetahui pengaruh ruangan yang diberi ac terhadap produktivitas kerja. Kombinatorial bekerjasama dengan rinaldi munir 2.
Prijono.”(berhasil gemilang menguasai) matematika diskrit disertai contohcontoh soal”.
Ketiga fungsi di atas menunjukkan fungsi yang tidak termasuk kategori fungsi kontinu. Oleh belajar statistik uji wilcoxon, contoh soal 23 november 2020 13 juni 2020 berikut adalah contoh soal uji wilcoxon: Berikut merupakan cara manual uji wilcoxon. Kombinatorial permutasi, kombinasi, dll) 3.
Source: rumusrumus.com
Berikut merupakan cara manual uji wilcoxon. Oleh karena itu, fungsi (f) dikatakan tidak kontinu (disebut juga diskontinu) di suatu titik (c) jika memenuhi salah satu dari tiga keaadaan berikut (1) nilai fungsi (f) tidak terdefinisi di titik (c); Jadi, ac berpengaruh terhadap produktivitas. Jika pada permutasi urutan kemunculan diperhitungkan, maka pada kombinasi, urutan kemunculan diabaikan.
Source: tugasoalkelompok.blogspot.com
Pada suatu kantor pemerintah dilakukan penelitian untuk mengetahui pengaruh ruangan yang diberi ac terhadap produktivitas kerja. Prijono.”(berhasil gemilang menguasai) matematika diskrit disertai contohcontoh soal”. Kombinatorial permutasi, kombinasi, dll) 3. Sruktur diskrit mampu bekerja dengan struktur diskrit.
Source: contoh123.com
Sruktur diskrit mampu bekerja dengan struktur diskrit. Berikut merupakan cara manual uji wilcoxon. Oleh karena itu, fungsi (f) dikatakan tidak kontinu (disebut juga diskontinu) di suatu titik (c) jika memenuhi salah satu dari tiga keaadaan berikut (1) nilai fungsi (f) tidak terdefinisi di titik (c); Sruktur diskrit mampu bekerja dengan struktur diskrit.
Prijono.”(berhasil gemilang menguasai) matematika diskrit disertai contohcontoh soal”.
Prijono.”(berhasil gemilang menguasai) matematika diskrit disertai contohcontoh soal”. Berikut merupakan cara manual uji wilcoxon. Penalaran matematika (mathematical reasoning) mampu membaca dan membentuk argumen matematika (materi: Jika pada permutasi urutan kemunculan diperhitungkan, maka pada kombinasi, urutan kemunculan diabaikan. Jadi, ac berpengaruh terhadap produktivitas.
Source: berkaspendidikanpdf.blogspot.com
Berikut merupakan cara manual uji wilcoxon. Prijono.”(berhasil gemilang menguasai) matematika diskrit disertai contohcontoh soal”. Kombinatorial permutasi, kombinasi, dll) 3. Pada suatu kantor pemerintah dilakukan penelitian untuk mengetahui pengaruh ruangan yang diberi ac terhadap produktivitas kerja. Sruktur diskrit mampu bekerja dengan struktur diskrit.
Oleh belajar statistik uji wilcoxon, contoh soal 23 november 2020 13 juni 2020 berikut adalah contoh soal uji wilcoxon:
Kombinatorial bekerjasama dengan rinaldi munir 2. Sruktur diskrit mampu bekerja dengan struktur diskrit. Oleh karena itu, fungsi (f) dikatakan tidak kontinu (disebut juga diskontinu) di suatu titik (c) jika memenuhi salah satu dari tiga keaadaan berikut (1) nilai fungsi (f) tidak terdefinisi di titik (c); Kombinasi •bentuk khusus dari permutasi adalah kombinasi.
Source: rumusrumus.com
Kombinasi •bentuk khusus dari permutasi adalah kombinasi. •misalkan ada 2 buah bola yang warnanya sama 3 buah kotak. Berikut merupakan cara manual uji wilcoxon. Oleh belajar statistik uji wilcoxon, contoh soal 23 november 2020 13 juni 2020 berikut adalah contoh soal uji wilcoxon:
Source: berkaspendidikanpdf.blogspot.com
•misalkan ada 2 buah bola yang warnanya sama 3 buah kotak. Kombinatorial bekerjasama dengan rinaldi munir 2. Penalaran matematika (mathematical reasoning) mampu membaca dan membentuk argumen matematika (materi: Jika pada permutasi urutan kemunculan diperhitungkan, maka pada kombinasi, urutan kemunculan diabaikan.
Source: ilmusoal.com
Jika pada permutasi urutan kemunculan diperhitungkan, maka pada kombinasi, urutan kemunculan diabaikan. “(buku teks ilmu komputer) matematika diskrit”. Ketiga fungsi di atas menunjukkan fungsi yang tidak termasuk kategori fungsi kontinu. Sruktur diskrit mampu bekerja dengan struktur diskrit.
Penalaran matematika (mathematical reasoning) mampu membaca dan membentuk argumen matematika (materi:
Berikut merupakan cara manual uji wilcoxon. •misalkan ada 2 buah bola yang warnanya sama 3 buah kotak. Sruktur diskrit mampu bekerja dengan struktur diskrit. Ketiga fungsi di atas menunjukkan fungsi yang tidak termasuk kategori fungsi kontinu. Kombinatorial permutasi, kombinasi, dll) 3.
Source: rumusrumus.com
Kombinatorial permutasi, kombinasi, dll) 3. “(buku teks ilmu komputer) matematika diskrit”. Kombinatorial bekerjasama dengan rinaldi munir 2. Sruktur diskrit mampu bekerja dengan struktur diskrit. Jadi, ac berpengaruh terhadap produktivitas.
Penalaran matematika (mathematical reasoning) mampu membaca dan membentuk argumen matematika (materi:
Tidak terdapat perbedaan produktivitas kerja pegawai sebelum dan sesudah memakai ac.jadi, ac tidak berpengaruh terhadap produktivitas kerja pegawai h 1 ∶ terdapat perbedaan produktivitas kerja pegawai sebelum dan sesudah memakai ac. Sruktur diskrit mampu bekerja dengan struktur diskrit. Jadi, ac berpengaruh terhadap produktivitas. Oleh karena itu, fungsi (f) dikatakan tidak kontinu (disebut juga diskontinu) di suatu titik (c) jika memenuhi salah satu dari tiga keaadaan berikut (1) nilai fungsi (f) tidak terdefinisi di titik (c);
Source: contoh123.com
Oleh karena itu, fungsi (f) dikatakan tidak kontinu (disebut juga diskontinu) di suatu titik (c) jika memenuhi salah satu dari tiga keaadaan berikut (1) nilai fungsi (f) tidak terdefinisi di titik (c); Sruktur diskrit mampu bekerja dengan struktur diskrit. Berikut merupakan cara manual uji wilcoxon. Oleh belajar statistik uji wilcoxon, contoh soal 23 november 2020 13 juni 2020 berikut adalah contoh soal uji wilcoxon: Kombinasi •bentuk khusus dari permutasi adalah kombinasi.
Source: berkaspendidikanpdf.blogspot.com
Oleh belajar statistik uji wilcoxon, contoh soal 23 november 2020 13 juni 2020 berikut adalah contoh soal uji wilcoxon: Penalaran matematika (mathematical reasoning) mampu membaca dan membentuk argumen matematika (materi: “(buku teks ilmu komputer) matematika diskrit”. Berikut merupakan cara manual uji wilcoxon. Kombinatorial bekerjasama dengan rinaldi munir 2.
Source: rumusrumus.com
Penalaran matematika (mathematical reasoning) mampu membaca dan membentuk argumen matematika (materi: Sruktur diskrit mampu bekerja dengan struktur diskrit. •misalkan ada 2 buah bola yang warnanya sama 3 buah kotak. Berikut merupakan cara manual uji wilcoxon. Ketiga fungsi di atas menunjukkan fungsi yang tidak termasuk kategori fungsi kontinu.
Situs ini adalah komunitas terbuka bagi pengguna untuk menuangkan apa yang mereka cari di internet, semua konten atau gambar di situs web ini hanya untuk penggunaan pribadi, sangat dilarang untuk menggunakan artikel ini untuk tujuan komersial, jika Anda adalah penulisnya dan menemukan gambar ini dibagikan tanpa izin Anda, silakan ajukan laporan DMCA kepada Kami.
Jika Anda menemukan situs ini lengkap, tolong dukung kami dengan membagikan postingan ini ke akun media sosial seperti Facebook, Instagram dan sebagainya atau bisa juga save halaman blog ini dengan judul contoh soal kombinatorial matematika diskrit dengan menggunakan Ctrl + D untuk perangkat laptop dengan sistem operasi Windows atau Command + D untuk laptop dengan sistem operasi Apple. Jika Anda menggunakan smartphone, Anda juga dapat menggunakan menu laci dari browser yang Anda gunakan. Baik itu sistem operasi Windows, Mac, iOS, atau Android, Anda tetap dapat menandai situs web ini.





